Schießergebnisse
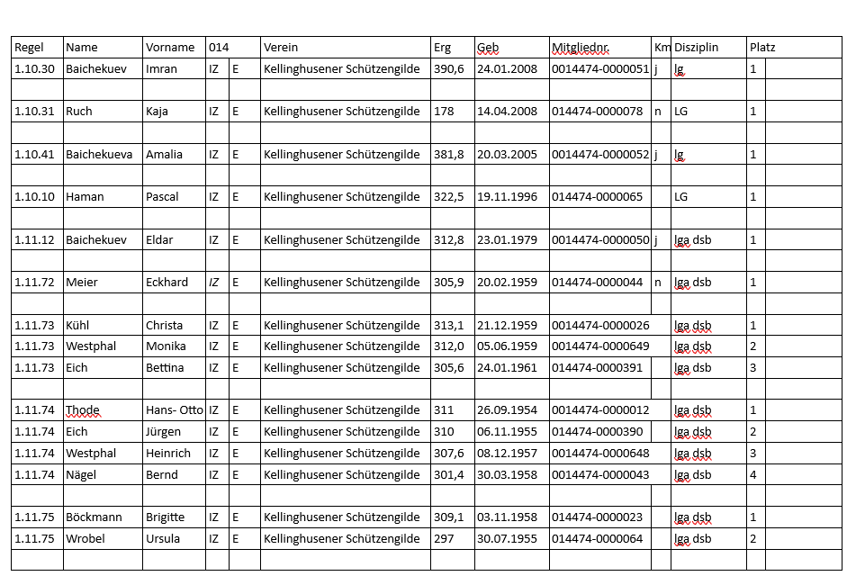
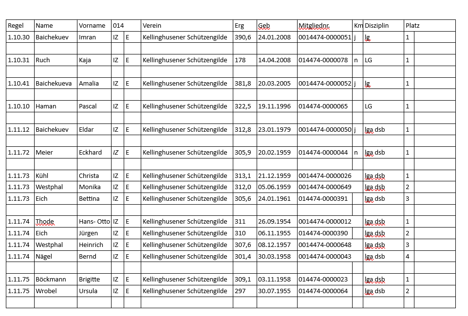
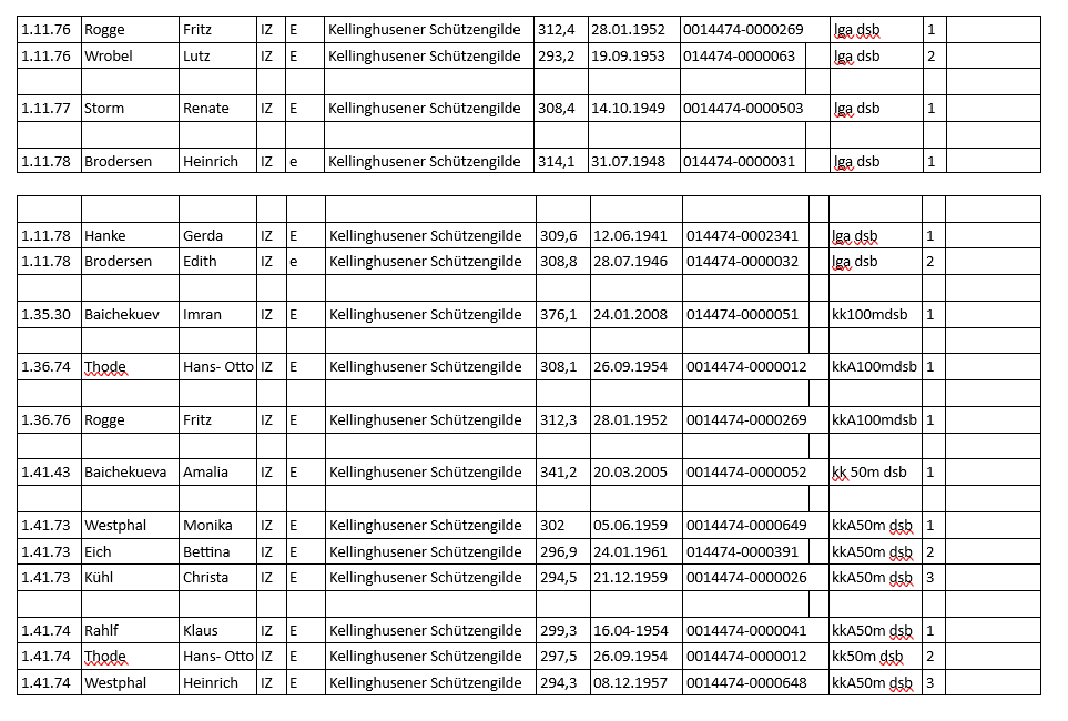
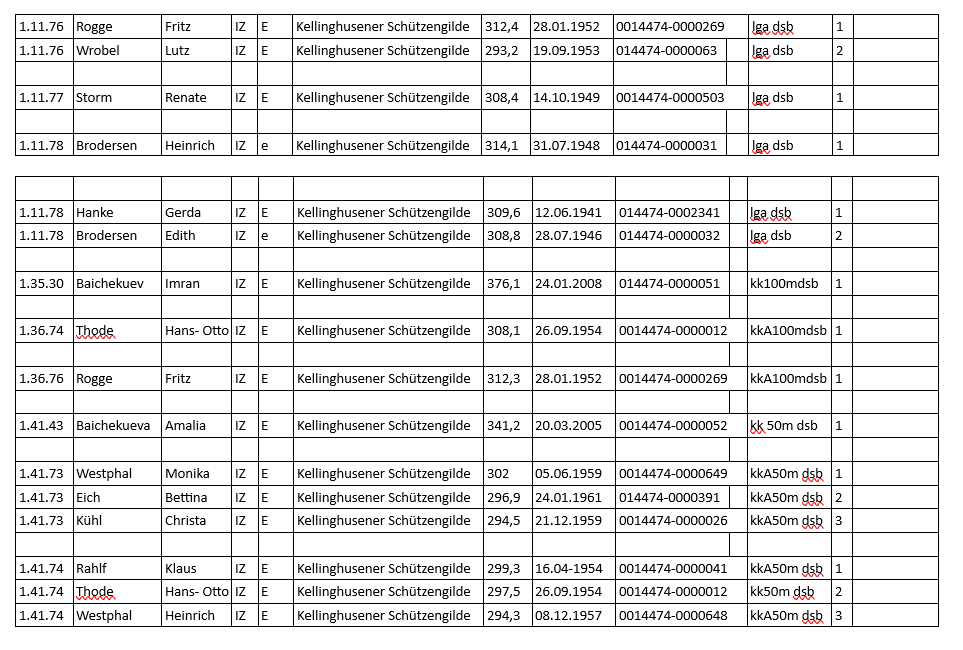
Staffelschießen 2024 Luftgewehr-Auflage Stör

Staffelschießen 2024 Luftgewehr-Auflage Bramau

Staffelschießen 2024 KK 50m


Kreismeisterschaft 2024

Gildemeisterschaft 2024



Staffelschießen 2024 KK 50m

Staffelschießen 2024 Luftgewehr-Auflage Bramau

Staffelschießen 2024 Luftgewehr-Auflage Stör
Staffelschießen 2024 KK 50m
Staffelschießen 2024 Luftgewehr-Auflage Bramau
Platzierungen Pokalwoche Schützenvereine
| Disziplin | Verein | Ergebnis | Platz |
|---|---|---|---|
| LGA | Elmshorner SG 1 | 940,5 | 1 |
| Msc Siethwende | 930,8 | 2 | |
| Schenefelder SG | 930 | 3 | |
| KK Reher | 913,6 | 4 | |
| KK Weddingstedt | 898,3 | 5 | |
| Sch Kam Schenefeld | 6 | ||
| LGA Damen | KK Reher | 925 | 1 |
| SV Wilster | 905,2 | 2 | |
| LGA Offene Kl | SV Tornesch | 950,8 | 1 |
| SV Neumünster | 936,1 | 2 | |
| Schüge Hartenholm/ Hasenmoor 2 | 935 | 3 | |
| Lola Sportschützen | 933,9 | 4 | |
| Schüge Hartenholm/ Hasenmoor 1 | 931,7 | 5 | |
| Poyenberger Eiche Schützen | 927,9 | 6 | |
| Elmshorner SG | 911,6 | 7 | |
| MTSV Hohenweststedt | 909,2 | 8 | |
| Alte Schg Dramburg | 904,5 | 9 | |
| Sch Kam Schenefeld 1 | 874,4 | 10 | |
| Halstenbeker SV | 873,2 | 11 | |
| KK Weddingstedt | 854 | 12 | |
| Sch Kam Schenefeld 2 | 766,7 | 13 | |
| LG/LP Junioren | Elmshorner SG | 1137,3 | 1 |
| Halstenbeker SV | 1093,3 | 2 | |
| Sch Kam Schenefeld | 1034,8 | 3 |
| Disziplin | Verein | Ergebnis | Platz |
|---|---|---|---|
| LP/LG Jugend | KK Weddingstedt 1 | 897,9 | 1 |
| KK Weddingstedt 2 | 618,8 | 2 | |
| LPA Offene Kl | Schenefelder SG | 792 | 1 |
| Halstenbeker SV | 747 | 2 | |
| Luftpistole Freihand | Oelixdorfer Schützen | 1062 | 1 |
| SV Neumünster | 1058 | 2 | |
| Halstenbeker Sch 1 | 1034 | 3 | |
| Halstenbeker Sch 2 | 941 | 4 | |
| PC Rendsburg | 666 | 5 | |
| LG Freihand | Hastenbeker SV | 992,3 | 1 |
| SV Tornesch | 737,1 | 2 | |
| SV Kiel | 403,9 | 3 | |
| LG offene Kl | SV Kiel | 1222,8 | 1 |
| Sch Kam Schenefeld | 1214,1 | 2 | |
| SV Wilster | 1171,9 | 3 | |
| KKA 50m | KK Reher | 886,4 | 1 |
| Schenefelder SG | 884,8 | 2 | |
| Elmshorner SG | 606,7 | 3 | |
| KK Weddingstedt | 558 | 4 | |
| KKA50 Offene KL | SV Tornesch | 914,8 | 1 |
| Schüge Hartenholm/ Hasenmoor 1 | 897,6 | 2 | |
| Alte Schg Dramburg | 881,6 | 3 |
| Disziplin | Verein | Ergebnis | Platz |
|---|---|---|---|
| KKA 50 Damen | KK Reher | 868,6 | 1 |
| KKA 100m offene KL | Elmshorner SG | 928,3 | 1 |
| KK Reher 1 | 923,6 | 2 | |
| Alte Schg Dramburg | 913,4 | 3 | |
| KK Reher 2 | 913,2 | 4 |
Ergebnisse Jedermannsschießen 2024
Kombi-Pokal
Ergebnisse Jedermannsschießen 2024
Kleinkaliber
Ergebnisse Jedermannsschießen 2024
Luftgewehr
Ergebnisse Kreismeisterschaften Luftgewehr & KK
Ergebnisse Luftpistole
Ergebnisse Staffelschießen KK 50m

Ergebnisse Staffelschießen LG-Auflage Stör
Ergebnisse Staffelschießen LG-Auflage Bramau

Ergebnisse Staffelschießen KK-Auflage 50m
Ergebnisse Staffelschießen LG-Auflage Bramau
Ergebnisse Staffelschießen KK-Auflage 50m
Ergebnisse Staffelschießen LG-Auflage Stör

Ergebnisse Staffelschießen LG-Auflage Bramau

Ergebnisse Staffelschießen LG-Auflage Stör

Ergebnisse Staffelschießen KK-Auflage 50m

Ergebnisse Staffelschießen KK-Auflage 50m

Ergebnisse Staffelschießen LG-Auflage Bramau

Ergebnisse Staffelschießen LG-Auflage Stör
Ergebnisse Staffelschießen LG-Auflage Stör

Ergebnisse Staffelschießen LG-Auflage Stör
Ergebnisse Staffelschießen LG-Auflage Bramau
Ergebnisse Staffelschießen KK-Auflage 50m
Ergebnisse Staffelschießen LGA Auflage Stör
Ergebnisse Vereinsmeisterschaft
| Name | Vorname | Disziplin | Ringzahl | Platzierung |
|---|---|---|---|---|
| Baichekuev | Imran | LG Schüler I | 165,2 | 1 |
| Baichekueva | Amalia | LG Jun. II w. | 366,8 | 1 |
| Naegel | Bernd | LGA DSB Sen II | 311,1 | 1 |
| Westphal | Heinrich | LGA DSB Sen II | 302,1 | 2 |
| Kühl | Christa | LGA DSB Sen IIw. | 311,5 | 1 |
| Westphal | Monika | LGA DSB Sen IIw. | 309,3 | 2 |
| Eich | Bettina | LGA DSB Sen IIw. | 305,6 | 3 |
| Eich | Jürgen | LGA DSB Sen III | 311,2 | 1 |
| Thode | Hans-Otto | LGA DSB Sen III | 310,7 | 2 |
| Gröger | Karl-Heinz | LGA DSB Sen III | 308,3 | 3 |
| Storm | Renate | LGA DSB Sen IV w. | 310,8 | 1 |
| Rahlf | Klaus | SpoPi DSB Sen III | 250 | 1 |
| Rahlf | Klaus | GK 9 mm DSB Sen III | 145 | 1 |
| Rahlf | Klaus | Revolver NDSB Sen III | 143 | 1 |
| Naegel | Bernd | KKA DSB 100 Sen II | 304,4 | 1 |
|---|---|---|---|---|
| Kühl | Christa | KKA DSB 100 Sen II w. | 305,1 | 1 |
| Thode | Hans-Otto | KKA DSB 100 Sen III | 309,2 | 1 |
| Naegel | Bernd | KKA DSB 50 Sen II | 288,7 | 1 |
| Westphal | Heinrich | KKA DSB 50 Sen II | 287,6 | 2 |
| Westphal | Monika | KKA DSB 50 Sen II w. | 300,1 | 1 |
| Kühl | Christa | KKA DSB 50 Sen II w. | 295,9 | 2 |
| Rahlf | Klaus | KKA DSB 50 Sen III | 301 | 1 |
| Thode | Hans-Otto | KKA DSB 50 Sen III | 296,9 | 2 |
| Rogge | Fritz | KKA DSB 50 Sen III | 295 | 3 |
| Thode | Hans-Otto | KKA DSB 50 ZF Sen III | 289 | 1 |
| Thode | Hans-Otto | KKA DSB 100 ZF SenIII | 303 | 1 |
| Naegel | Bernd | LGA NDSB Sen II | 311,1 | 1 |
| Feßenmayer | Jens | LGA NDSB Sen II | 308,5 | 2 |
| Westphal | Heinrich | LGA NDSB Sen II | 302,1 | 3 |
| Meier | Eckhard | LGA NDSB Sen II | 296,7 | 4 |
|---|---|---|---|---|
| Eich | Bettina | LGA NDSB Sen II w | 312,1 | 1 |
| Kühl | Christa | LGA NDSB Sen II w | 311,5 | 2 |
| Westphal | Monika | LGA NDSB Sen II w | 309,3 | 3 |
| Böckmann | Brigitte | LGA NDSB Sen II w | 305,2 | 4 |
| Stick | Brigitta | LGA NDSB Sen II w | 293,5 | 5 |
| Thode | Hans-Otto | LGA NDSB Sen III | 313,1 | 1 |
| Eich | Jürgen | LGA NDSB Sen III | 312,3 | 2 |
| Gröger | Karl-Heinz | LGA NDSB Sen III | 311,1 | 3 |
| Storm | Renate | LGA NDSB Sen IV w | 311,4 | 1 |
| Hanke | Gerda | LGA NDSB Sen V w | 311,4 | 1 |
| Brodersen | Edith | LGA NDSB Sen V w | 308,4 | 2 |
| Naegel | Bernd | KKA NDSB 100 Sen II | 304,4 | 1 |
| Kühl | Christa | KKA NDSB 100 Sen IIw | 305,1 | 1 |
| Westphal | Monika | KKA NDSB 100 Sen IIw | 299,1 | 2 |
| Kühl | Christa | KKA NDSB 50 Sen II w | 295,9 | 2 |
|---|---|---|---|---|
| Thode | Hans-Otto | KKA NDSB 50 Sen III | 301 | 1 |
| Rahlf | Klaus | KKA NDSB 50 Sen III | 299,3 | 2 |
| Brodersen | Heinrich | KKA NDSB 50 Sen IV | 294,3 | 1 |
| Thode | Hans-Otto | KKA NDSB 50ZF SenIII | 303 | 1 |
| Rogge | Fritz | KKA NDSB 50ZF SenIII | 297,6 | 2 |
| Thode | Hans- Otto | KKA NDSB 100ZF SeIII | 308,1 | 1 |
| Rogge | Fritz | KKA NDSB 100 ZFSeIII | 305,5 | 2 |
Die wichtigsten Abkürzungen der Disziplinen:
LG = Luftgewehr
LGA = Luftgewehr aufgelegt
Spopi = Sportpistole 5,6mm
GK = Großkaliber 9mm
KKA = Kleinkaliber aufgelegt
ZF = Zielfernrohr
und die Angabe der verschiedenen Altersklassen
DSB = Deutscher Schützenbund
NDSB = Norddeutscher Schützenbund
Ergebnisse Disziplin Staffelschießen Kleinkaliber vom 11.03.2022

Ergebnisse Staffelschießen Disziplin Luftgewehr Auflage vom 22.03.2022
